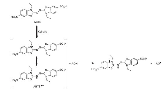
Abts Assay Mechanism

Sia Protocol Sequence For The Abts Assay Download Table

Sia Protocol Sequence For The Abts Assay Download Table

Antioxidant Compounds And Their Antioxidant Mechanism Intechopen

Antioxidant Compounds And Their Antioxidant Mechanism Intechopen

Reprint Of Hurdles And Pitfalls In Measuring Antioxidant Efficacy

Reprint Of Hurdles And Pitfalls In Measuring Antioxidant Efficacy

Quimica Nova Artigos

Quimica Nova Artigos

Antioxidant Compounds And Their Antioxidant Mechanism Intechopen

Antioxidant Compounds And Their Antioxidant Mechanism Intechopen